カバの学名、ヒッポニア・ヒッポ。
5時に起きた。寝足りないと思ったけれどうまく寝直すことができなかったので、諦めてSEKIROをやった。梟を倒した。
エルデンリングでは、敵の攻撃を躱せることを祈りながらローリングしまくる戦略を「お願いローリング」略して「おねロリ」と言うらしい。しかしSEKIROでは、これは通じない。不用意にステップ回避すると、そのわずかなガードの入力受付のない瞬間に敵の攻撃が入って当たってしまう(ステップ中も無敵じゃない)。避けるよりも弾いて受けるほうが、よっぽど安全だ。梟戦ではなんだかそのことを強く感じたな。刃のリーチも攻撃の振り速度も大きかったから、逃げる動きがむしろ一番危険だった。
仙郷の破戒僧も倒した。第三形態キャーって言いながら倒した。破戒僧はリーチはあれど振り速度が十分に遅いので、なるべく距離置いて回避する戦略が有効だったかも。

ョ”ッナンササに来た。二日連続でジョナサンに来るヤツいる? 焼きもろこしの冷たいポタージだよなぁ!?
「!?」と「?!」では、少なくとも日本では前者を使う人のほうが多いと言われている。でも任天堂のゲームのテキストでは(すべてがそうかはわからないが、知ってる範囲では)後者が使われている。あの任天堂が採用しているとなると、「?!」という順番にも何か意図があったりするのだろうか……と勘繰ってしまう。
僕も多数派のほうで、だいたい「!?」の順番で書くな。こっちのほうが食べやすい? 気がする。
ドグラ・マグラで「?」に「インタロゲーション・マーク」というルビが振られていてびびったことがある。そんな言い方するんだ。
組版の原則では、「!」や「?」のあとには全角の空白を入れる慣習になっている! こんなふうに。日記を書きはじめの頃は、僕もそれを意識して全角アキを入れていた。けれどなんか、使いどきによっては空白を差し込まないほうが読みあじが良いなと思うケースが増えてきて、あえて開けないみたいなことをするようにもなった。さらに最近は、その判断(アキを入れるのか入れないのか)が面倒くさくなってきて、どんな場合でも半角スペースを入れるようになった。折衷案のような。俺のサイトだから俺の好きにする。
丸括弧はスマホ(iPhone)で打つときは半角、PC(Windows)で打つときは全角にしてて、とくに統一していない。個人的には全角のほうが自然に感じるけれど、iOSのデフォルトのキーボードだと全角の丸括弧は打つのに一手間多くかかるよね? それがやだ。
数字は1桁のときは全角で、2桁のときは半角にしている。全角数字を受けつけない人もたまにいるけれど、今のフォントは全角数字もとても綺麗に感じるから、惜しみなく使っている。
時刻は24時間表記で、午前午後は明示しないことにしてる。自分が3時と書いたらそれは15時ではなく午前3時のことを表している。自分はそれで把握できる。
突然日記の暫定ルールを述べ立てていった。とくに意味はないです。今新宿の高島屋のトイレに居るんだ。先日黒焦げになっちゃった鍋の代わりになる新しい鍋を買いに、ハンズに来ている。

トイレを出た。せっかく新宿に来たから、話題のおかげ庵に行くことになった。

腕が短いように見える

新宿センタービル。美術予備校時代、しょっちゅうこの辺の水辺にぼーっとしに来た。当時は予備校に通うのがつらくて、今思えば結構な頻度でさぼっていた。さぼるたびに新しい休憩所を探して新宿西エリアをうろうろした。

おかげ庵で団子を焼いた。
SEKIROのような戦国時代の世界は、衛生状態が良いようには見えない。モブたちも悉くしわくちゃで土まみれだし。ちょっとした傷口からばい菌が入って、化膿やら壊死やらがしょっちゅうなんだろうなって思うと、嫌な世界だ。みんなどこかしら、体に痛みを抱えながら生きてそう。
パートナーが教えてくれたけれど、SEKIROのような時代は「傷口を清潔にすることで病気を防ぐ」という考えがそもそもなかったらしい。19世紀、ハンガリーの医師ゼンメルワイスが原初。とある特定の産婦人科病棟のみ出産後の母親がたくさん命を落とすという事例があり、ゼンメルワイスがその原因を調査したところ、その棟の医師たちは手を洗っていなかったことに気づいた。それを受けゼンメルワイスは、出産に立ち会う医師は手を洗うように指導をしてみたところ、母親の産後死亡率がぐんと下がったという。
「手を洗うことが疾病のリスクを減らす」という今では当たり前の常識は、このときにようやく始まった。
おかげ庵美味しかった。パートナーは自転車で帰った。僕は電車で帰ることにした。電車に乗る前にブックファーストに寄った。

サイモン・シンの『フェルマーの最終定理』を読んでなんだか満足できなかったので、結城浩『数学ガール』のフェルマーの最終定理編を買ってみた。中高時代に大好きだったシリーズだ。今改めて読むと、ステレオタイプなラノベ描写が結構きつい。当時はそんなに気にならなかったけど。でも数学ガールはそんなラノベタッチながら、内容は高校レベルは優に超える数学を、数式をたっぷり補いながら説明してくれるから面白い。別巻でゲーデルの不完全性定理の証明を追っていくところの語りでは『ゲーデル、エッシャー、バッハ』の参照とかあって、おしゃれなところもある。

橋爪洋一郎『物理数学』も買った。数学ガールは読み物だけど、こっちは教科書。理系大学の1〜2年生が扱う主要な数学。
僕は前の大学では工学部だったから、一通りの数学と物理学は学ぶはずだった。でも入学して半年もしないうちに授業に出られなくなって、不登校になった。だから、1年生が扱う程度の学問もいまだに全然わからない。線形代数はちょろっとしかわからない。微分積分もイプシロンデルタ論法で止まってる。微分方程式は解けない。フーリエ変換とかラプラス変換とか、名前を知っているだけでできない。量子力学でよく出てくる、悪魔の槍みたいな記号何? ナブラって何? 相対性理論の理解も、オタク雑学の域を出ない。ベクトル解析って何? ルベーグ積分って何? 場の量子論って何? モジュラーって何? 全部知りたいんだよ。
なんかいま個人的に数学がオモロイ時期に入っているので、このくらいまでは知っておきたい数学というものを勉強したくなって、これを買った。わかりやすいらしいので。どちらかというと純粋な数学よりも物理学のほうが興味が強いので、ゆくゆくは相対論や素粒子につながっていけそうな『物理数学』というのを選んでみた。
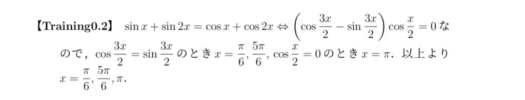
帰宅してから開いて問題解いてみてるけど、第0章の高校数学のおさらいみたいなところで既に苦戦してる。

解説を見ても、「このくらい当然だから言うまでもないよね」という雰囲気で何段飛ばしかの同値変形が説明なく行われている。大学の教科書ってこういうとこあったね。受験数学から長らく離れていた僕は、一行の意味を理解するのでへとへと。
演習問題で、三角関数のパラメータ表示の導出とか、対数関数の底の変換方式の導出とかをさせてくれる。一問一問含蓄があって楽しい〜。
しかし、自分が計算ミスばっかでいらいらする。あとうんざりするほどxやらsinやら書いていた受験期の感覚を思い出して気が滅入る。手計算は苦しい作業だな。マイナス付きの括弧の中にもマイナスが入っていたりしていて、気が狂いそうになりますね。本当に自分が数学が面白いのか怪しくなってきた。
終わり。
今日は、寝るとき以外は布団に寝そべらなかった。ご飯を食べるときと本読むときとSEKIROやるとき以外はソファに座らなかった。そのおかげか、洗いものとかできた。
明日からガチ作業せねばならない。Death the Guitarがやばい。あと6日くらいでなんか、なんとかしないといけない。なんで今から数学の勉強をし始めている。ブックファーストの人文エリアにゲームスタディーズをまとめた特別なディスプレイ棚(『プレイマターズ』『ハーフリアル』『ビデオゲームの美学』『デジタルゲーム研究』などが置いてあった)があったけれど、全然シカトして線形代数の棚に行っちゃったな。美大生とは思えない動き。
寝る。明日は起きたら作業。それ以外はない。